Упр.652 ГДЗ Мерзляк Полонский 8 класс (Алгебра)
Решение #1 (Учебник 2025)
Решение #2 (Учебник 2019)
Решение #3 (Учебник 2019)

Рассмотрим вариант решения задания из учебника Мерзляк, Полонская, Якир 8 класс, Просвещение:
Заполните таблицу.
7x^2 - 2x - 19 = 0
6x - 0,3x^2 = 0
1/6 x^2 - 2 = 0
x - 8 + x^2 = 0
-x^2 - x = 0
2,8x^2 = 0
Упростите выражение:
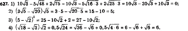
1) 10 корень 3 - 5 корень 48 + 2 корень 75;
2) (3 корень 5 - корень 20) корень 5;
3) (5 - корень 2)2;
4) (корень 18 - корень 3) корень 2 + 0,5 корень 24.
Похожие решебники
Популярные решебники 8 класс Все решебники
*К сожалению, временные проблемы с публикацией комментариев с мобильных устройств.