Упр.647 ГДЗ Мерзляк Полонский 8 класс (Алгебра)
Решение #1 (Учебник 2025)
Решение #2 (Учебник 2025)
Решение #3 (Учебник 2019)
Решение #4 (Учебник 2019)

Рассмотрим вариант решения задания из учебника Мерзляк, Полонская, Якир 8 класс, Просвещение:
Докажите тождество:
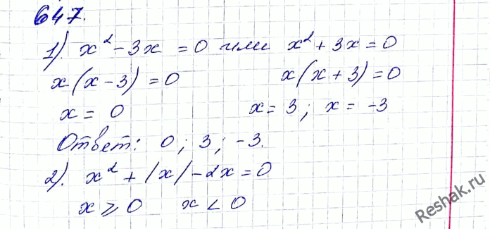
Решите уравнение:
1) x2 - 3|x| = 0;
2) x2 + |x| - 2x = 0;
3) x2 - |x|/x = 0;
4) x2 - 2x2/|x| = 0.
Похожие решебники
Популярные решебники 8 класс Все решебники
*К сожалению, временные проблемы с публикацией комментариев с мобильных устройств.