Упр.626 ГДЗ Колягин Ткачёва 11 класс (Алгебра)
Решение #1
Решение #2

Рассмотрим вариант решения задания из учебника Колягин, Ткачёва, Фёдорова 11 класс, Просвещение:
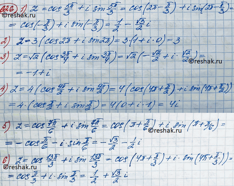
626. Записать в алгебраической форме комплексное число:
1) cos 5пи/3 + isin 5пи/3;
2) 3(cos 2пи + isin2пи);
3) корень 2 (cos 3пи/4 + isin 3пи/4);
4) 4(cos 9пи/2 + isin 9пи/2);
5) cos 7пи/6 + isin 7пи/6;
6) cos 13пи/3 + isin 13пи/3.
Популярные решебники 11 класс Все решебники
*К сожалению, временные проблемы с публикацией комментариев с мобильных устройств.