Упр.624 ГДЗ Колягин Ткачёва 11 класс (Алгебра)
Решение #1
Решение #2

Рассмотрим вариант решения задания из учебника Колягин, Ткачёва, Фёдорова 11 класс, Просвещение:
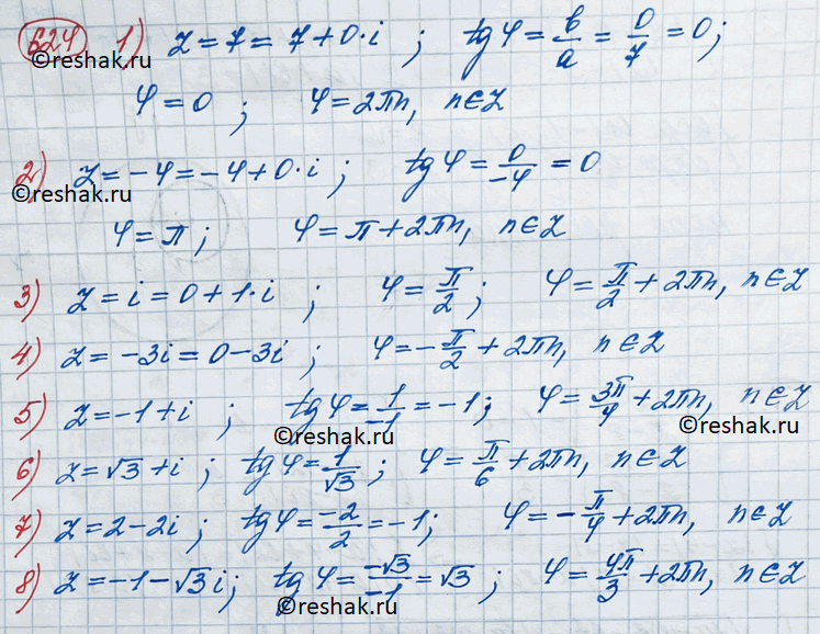
624. Найти все аргументы комплексного числа:
1) z = 7;
2) z =-4;
3) z = i;
4) z = -3i;
5) z = -1 + i;
6) z= корень 3 + i;
7) z = 2 - 2i;
8) z = -1- корень 3i.
Популярные решебники 11 класс Все решебники
*размещая тексты в комментариях ниже, вы автоматически соглашаетесь с пользовательским соглашением