🔥ГДЗ под запретом?

Упр.602 ГДЗ Никольский Потапов 9 класс (Алгебра)

Решение #1

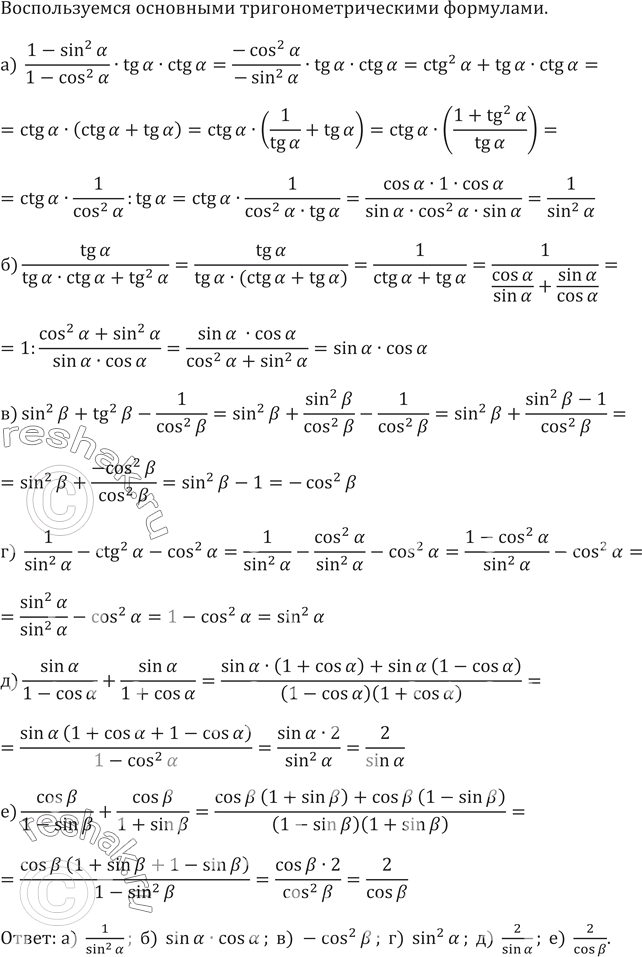
Изображение а)  (1-sin^2а)/(1-cos^2а )•tgа•ctgаб)  tgа/(tgа•ctgа+tg^2а )в) sin^2b+tg^2(b-1/cos^2b) г)  1/sin^2а -ctg^2а-cos^2?ад)  sinа/(1-cosа )+sinа/(1+cosа)е) ...

Решение #2

Изображение а)  (1-sin^2а)/(1-cos^2а )•tgа•ctgаб)  tgа/(tgа•ctgа+tg^2а )в) sin^2b+tg^2(b-1/cos^2b) г)  1/sin^2а -ctg^2а-cos^2?ад)  sinа/(1-cosа )+sinа/(1+cosа)е) ...

Рассмотрим вариант решения задания из учебника Никольский, Потапов 9 класс, Просвещение:
а) (1-sin^2а)/(1-cos^2а )•tgа•ctgа
б) tgа/(tgа•ctgа+tg^2а )
в) sin^2b+tg^2(b-1/cos^2b)
г) 1/sin^2а -ctg^2а-cos^2?а
д) sinа/(1-cosа )+sinа/(1+cosа)
е) cosb/(1-sinb )+cosb/(1+sinb)
*Цитирирование задания со ссылкой на учебник производится исключительно в учебных целях для лучшего понимания разбора решения задания.
*К сожалению, временные проблемы с публикацией комментариев с мобильных устройств.