🔥ГДЗ под запретом?

Упр.587 ГДЗ Никольский Потапов 9 класс (Алгебра)

Решение #1

Изображение 587. Упростите выражение:а) sin (-a + пи); б) cos (а-пи); в) sin (а + 7пи); г)...

Решение #2

Изображение 587. Упростите выражение:а) sin (-a + пи); б) cos (а-пи); в) sin (а + 7пи); г)...

Рассмотрим вариант решения задания из учебника Никольский, Потапов 9 класс, Просвещение:
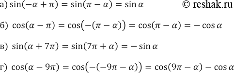
587. Упростите выражение:
а) sin (-a + пи); б) cos (а-пи); в) sin (а + 7пи); г) соз(а-9пи).
*Цитирирование задания со ссылкой на учебник производится исключительно в учебных целях для лучшего понимания разбора решения задания.
*К сожалению, временные проблемы с публикацией комментариев с мобильных устройств.