Упр.586 ГДЗ Мерзляк 8 класс (Алгебра)
Решение #1
Решение #2
Решение #3

Рассмотрим вариант решения задания из учебника Мерзляк, Полонская, Якир 8 класс, Вентана-Граф:
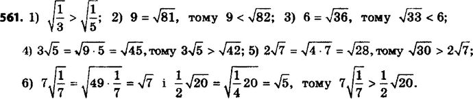
586. Сравните числа:
1) корень 1/3 и корень 1/5;
2) 9 и корень 82;
3) корень 33 и 6;
4) 3 корень 5 и корень 42:
5) корень 30 и 2 корень 7;
6) 7 корень 1/7 и 1/2 корень 20.
Похожие решебники
Популярные решебники 8 класс Все решебники
*размещая тексты в комментариях ниже, вы автоматически соглашаетесь с пользовательским соглашением