Упр.547 ГДЗ Мерзляк 9 класс (Алгебра)
Решение #1 (Учебник 2024)
Решение #2 (Учебник 2024)
Решение #3 (Учебник 2021)
Решение #4 (Учебник 2021)

Рассмотрим вариант решения задания из учебника Мерзляк, Полонская, Якир 9 класс, Просвещение:
Является ли арифметической прогрессией последовательность (в случае утвердительного ответа укажите разность прогрессии):
1) 24, 22, 20, 18;
2) 16, 17, 19, 23;
3) -3, 2, 7, 12?
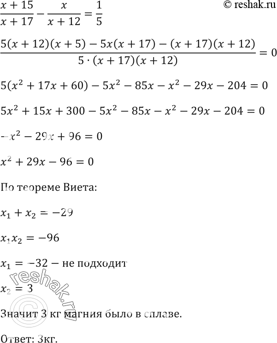
К сплаву магния и алюминия, содержавшему 12 кг алюминия, добавили 5 кг магния, после чего процентное содержание магния в сплаве увеличилось на 20 единиц.
Сколько килограммов магния было в сплаве первоначально?
Похожие решебники
Популярные решебники 9 класс Все решебники
*размещая тексты в комментариях ниже, вы автоматически соглашаетесь с пользовательским соглашением