Упр.520 ГДЗ Мерзляк Полонский 8 класс (Алгебра)
Решение #1 (Учебник 2025)
Решение #2 (Учебник 2025)
Решение #3 (Учебник 2019)

Рассмотрим вариант решения задания из учебника Мерзляк, Полонская, Якир 8 класс, Просвещение:
Известно, что а > 0, с < 0. Сравните с нулём значение выражения:
1) а3 с4;
2) ас5.
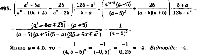
Найдите значение выражения
((a2-5a)/(a2-10a+25) + 25/(a2-25)) : (125-a3)/(5+a)
при а = 4,5.
Похожие решебники
Популярные решебники 8 класс Все решебники
*К сожалению, временные проблемы с публикацией комментариев с мобильных устройств.