Упр.5.8 ГДЗ Дорофеев Суворова 7 класс (Алгебра)
Решение #1

Рассмотрим вариант решения задания из учебника Дорофеев, Суворова, Бунимович 7 класс, Просвещение:
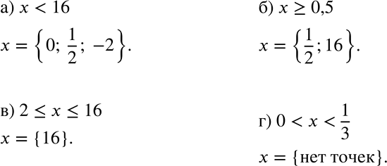
Какие из чисел 0; -2; 16 принадлежат промежутку:
а) x < 16;
б) х > =0,5;
в) 2 < = x < =16;
г) 0 < x < 1/3?
Популярные решебники 7 класс Все решебники
*размещая тексты в комментариях ниже, вы автоматически соглашаетесь с пользовательским соглашением