Упр.5.11 ГДЗ Дорофеев Суворова 7 класс (Алгебра)
Решение #1

Рассмотрим вариант решения задания из учебника Дорофеев, Суворова, Бунимович 7 класс, Просвещение:
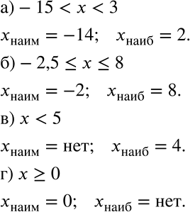
Назовите наименьшее и наибольшее целое число, принадлежащее указанному промежутку (если такое существует):
а) интервалу -15 < х < 3;
б) отрезку -2,5 < = х < = 8;
в) лучу х < 5;
г) лучу х > = 0.
Популярные решебники 7 класс Все решебники
*размещая тексты в комментариях ниже, вы автоматически соглашаетесь с пользовательским соглашением