🔥ГДЗ под запретом?

Упр.5.532 ГДЗ Виленкин Жохов 5 класс Часть 2, Просвещение (Математика)

Решение #1 (Учебник 2023)

Изображение Упр.5.532 ГДЗ Виленкин Жохов 5 класс Часть 2, Просвещение

Рассмотрим вариант решения задания из учебника Виленкин, Жохов, Александрова 5 класс, Просвещение:
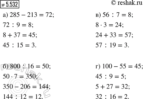
Вычислите:
а) 285 - 213 б) 800 : 16 в) 56 : 7 г) 100 - 55
: 9 · 7 · 3 : 9
+ 37 - 206 + 33 + 27
: 15 : 12 : 19 : 16

*Цитирирование задания со ссылкой на учебник производится исключительно в учебных целях для лучшего понимания разбора решения задания.
*К сожалению, временные проблемы с публикацией комментариев с мобильных устройств.