Упр.49 ГДЗ Мерзляк 8 класс (Алгебра)
Решение #1
Решение #2
Решение #3

Рассмотрим вариант решения задания из учебника Мерзляк, Полонская, Якир 8 класс, Вентана-Граф:
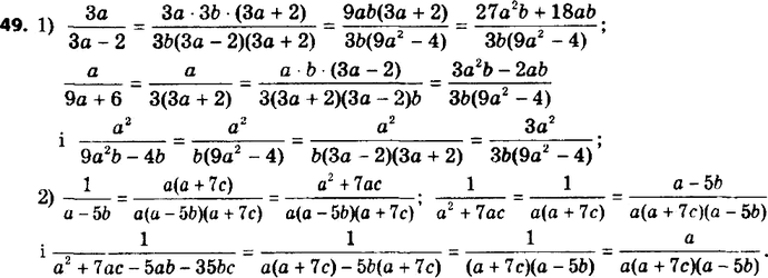
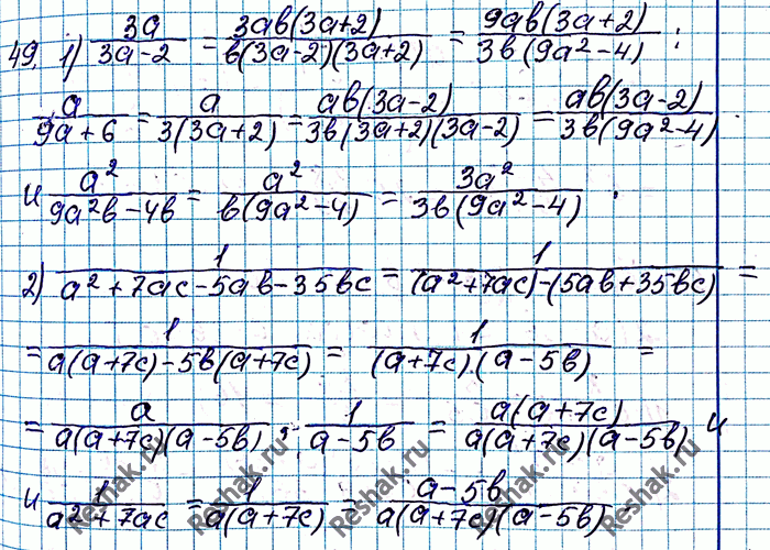
49. Запишите в виде дробей с одинаковыми знаменателями:
1) 3a/(3a-2), a/(9a+6) и a2/(9a2b-4b);
2) 1/(a-5b), 1/(a2+7ac) и 1/(a2+7ac-5ab-35bc).
Похожие решебники
Популярные решебники 8 класс Все решебники
*К сожалению, временные проблемы с публикацией комментариев с мобильных устройств.