Упр.47 ГДЗ Мерзляк 8 класс (Алгебра)
Решение #1
Решение #2
Решение #3

Рассмотрим вариант решения задания из учебника Мерзляк, Полонская, Якир 8 класс, Вентана-Граф:
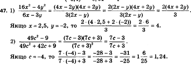
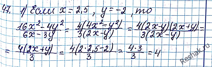
47. Найдите значение выражения:
1) (16x2-4y2)/(6x-3y) при x=2,5, y=-2;
2) (49c2-9)/(49c2+42c+9) при c=-4.
Похожие решебники
Популярные решебники 8 класс Все решебники
*К сожалению, временные проблемы с публикацией комментариев с мобильных устройств.