Упр.469 ГДЗ Мерзляк 9 класс (Алгебра)
Решение #1 (Учебник 2024)
Решение #2 (Учебник 2024)
Решение #3 (Учебник 2021)
Решение #4 (Учебник 2021)

Рассмотрим вариант решения задания из учебника Мерзляк, Полонская, Якир 9 класс, Просвещение:
Постройте график функции:
1) y = х|х|;
2) y = x/|x| (х^2 - х - 6);
3) у = х^2 - 4|x| + 3;
4) у = х^2 + 3х * |x - 3|/(x - 3) - 4.
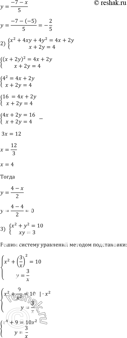
Решите систему уравнений:
х^2 + 10ху + 2y^2 = 49,
х - 5у = -3;
Похожие решебники
Популярные решебники 9 класс Все решебники
*размещая тексты в комментариях ниже, вы автоматически соглашаетесь с пользовательским соглашением