🔥ГДЗ под запретом?

Упр.463 ГДЗ Никольский Потапов 9 класс (Алгебра)

Решение #1

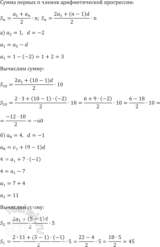
Изображение Sn=(a1+an)/2•n; Sn=(2a1+(n-1)d)/2•nа) a2=1,   d=-2б) a8=4,   d=-1в) a9=2,   г)...

Решение #2

Изображение Sn=(a1+an)/2•n; Sn=(2a1+(n-1)d)/2•nа) a2=1,   d=-2б) a8=4,   d=-1в) a9=2,   г)...
Дополнительное изображение

Рассмотрим вариант решения задания из учебника Никольский, Потапов 9 класс, Просвещение:
Sn=(a1+an)/2•n; Sn=(2a1+(n-1)d)/2•n
а) a2=1, d=-2
б) a8=4, d=-1
в) a9=2,
г) a10=4
*Цитирирование задания со ссылкой на учебник производится исключительно в учебных целях для лучшего понимания разбора решения задания.
*К сожалению, временные проблемы с публикацией комментариев с мобильных устройств.