🔥ГДЗ под запретом?

Упр.462 ГДЗ Никольский Потапов 9 класс (Алгебра)

Решение #1

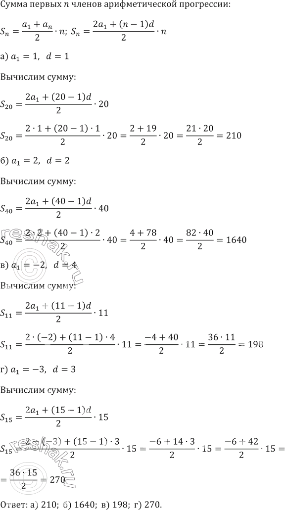
Изображение Sn=(a1+an)/2•n; Sn=(2a1+(n-1)d)/2•nа) a1=1,   d=1б) a1=2,   d=2в) a1=-2,   d=4г) a1=-3,  ...

Решение #2

Изображение Sn=(a1+an)/2•n; Sn=(2a1+(n-1)d)/2•nа) a1=1,   d=1б) a1=2,   d=2в) a1=-2,   d=4г) a1=-3,  ...

Рассмотрим вариант решения задания из учебника Никольский, Потапов 9 класс, Просвещение:
Sn=(a1+an)/2•n; Sn=(2a1+(n-1)d)/2•n
а) a1=1, d=1
б) a1=2, d=2
в) a1=-2, d=4
г) a1=-3, d=3
*Цитирирование задания со ссылкой на учебник производится исключительно в учебных целях для лучшего понимания разбора решения задания.
*К сожалению, временные проблемы с публикацией комментариев с мобильных устройств.