Упр.451 ГДЗ Мерзляк Полонский 7 класс (Алгебра)
Решение #1 (Учебник 2025)
Решение #2 (Учебник 2025)
Решение #3 (Учебник 2021)
Решение #4 (Учебник 2021)

Рассмотрим вариант решения задания из учебника Мерзляк, Полонская, Якир 7 класс, Вентана-Граф:
Через первую трубу бассейн можно наполнить водой за 3 ч, а через вторую — за 6 ч. Сначала 2 ч была открыта первая труба, потом её закрыли, но открыли вторую. За сколько часов был наполнен бассейн?
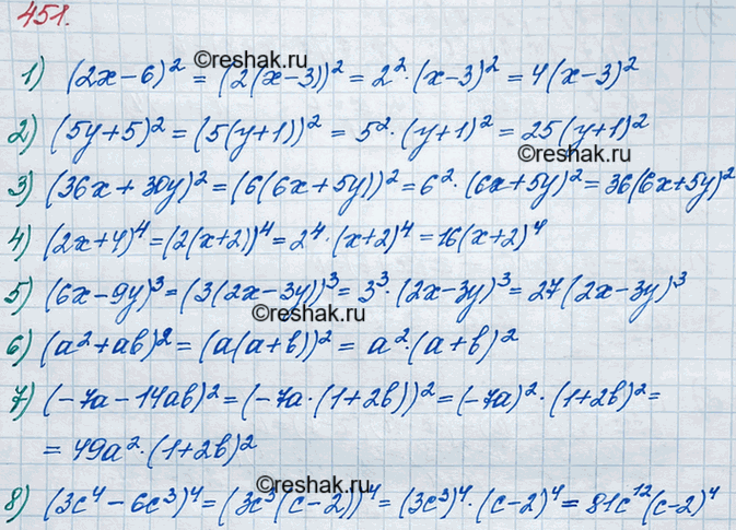
Вынесите за скобки общий множитель:
1) (2х - 6)2 ;
2) (5у + 5)2;
3) (36х + 30у)2;
4) (2х + 4)4;
5) (6х - 9y)3;
6) (а2 + ab)2;
7) (-7а - 14аb)2;
8) (3с4 - 6с3)4.
Похожие решебники
Популярные решебники 7 класс Все решебники
*К сожалению, временные проблемы с публикацией комментариев с мобильных устройств.