Упр.44.1 ГДЗ Мерзляк 10 класс Углубленный уровень (Алгебра)
Решение #1

Рассмотрим вариант решения задания из учебника Мерзляк, Номировский, Поляков 10 класс, Просвещение:
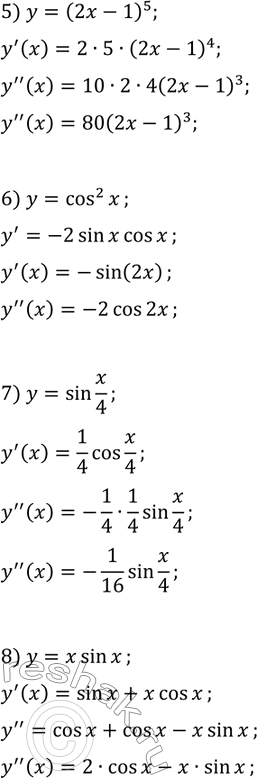
44.1. Найдите вторую производную функции:
1) y=x^2-2x+5; 4) y=cos(x); 7) y=sin(x/4);
2) y=1/x; 5) y=(2x-1)^5; 8) y=x sin(x).
3) y=vx; 6) y=cos^2(x);
Похожие решебники
Популярные решебники 10 класс Все решебники
*размещая тексты в комментариях ниже, вы автоматически соглашаетесь с пользовательским соглашением