Упр.40.19 Часть 2 ГДЗ Мордкович Семенов 7 класс (Алгебра)
Решение #1 (Учебник 2025)

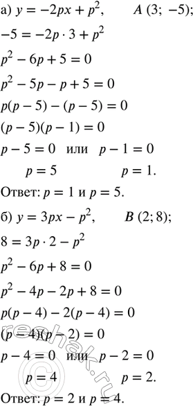
Рассмотрим вариант решения задания из учебника Мордкович, Семенов, Александрова 7 класс, Бином:
а) При каких значениях параметра р график линейной функции у = — 2рх + р^2 проходит через точку А(3; —5)?
б) При каких значениях параметра р график линейной функции у = 3рх — р^2 проходит через точку В(2; 8)?
Похожие решебники
Популярные решебники 7 класс Все решебники
*К сожалению, временные проблемы с публикацией комментариев с мобильных устройств.