Упр.40.18 Часть 2 ГДЗ Мордкович Семенов 7 класс (Алгебра)
Решение #1 (Учебник 2025)
Решение #2 (Учебник 2019)

Рассмотрим вариант решения задания из учебника Мордкович, Семенов, Александрова 7 класс, Бином:
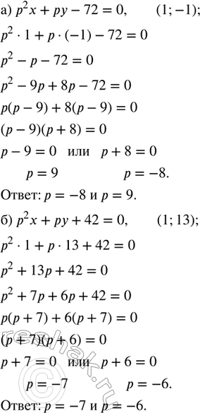
а) При каких значениях параметра р пара чисел (1; —1) является решением уравнения р^2 х + ру — 72 = 0?
б) При каких значениях параметра р пара чисел (1; 13) является решением уравнения р^2 х + ру + 42 = 0?
Андрей и Сергей могут вскопать огород за 9 ч, Сергей и Матвей — за 12 ч, а Матвей и Андрей — за 18 ч. Сколько времени потребуется, чтобы вскопать этот огород, если Андрей, Сергей и Матвей будут работать втроём?
Похожие решебники
Популярные решебники 7 класс Все решебники
*К сожалению, временные проблемы с публикацией комментариев с мобильных устройств.