Упр.4.71 ГДЗ Дорофеев Суворова 9 класс (Алгебра)
Решение #1

Рассмотрим вариант решения задания из учебника Дорофеев, Суворова, Бунимович 9 класс, Просвещение:
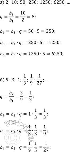
Выпишите следующие три члена геометрической прогрессии:
а) 2; 10; 50; ...;
б) 9; 3; 1; ...;
в) -1000; 100; -10; ...;
г) 1/16; -1/8; 1/4; ... .
Популярные решебники 9 класс Все решебники
*размещая тексты в комментариях ниже, вы автоматически соглашаетесь с пользовательским соглашением