Упр.4.44 ГДЗ Дорофеев Суворова 7 класс (Алгебра)
Решение #1

Рассмотрим вариант решения задания из учебника Дорофеев, Суворова, Бунимович 7 класс, Просвещение:
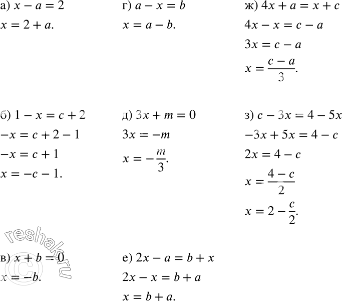
Решите уравнение относительно х:
а) х - a = 2;
б) 1 - х = с + 2;
в) х + и = 0;
г) а- х = b;
д) Зх + m = 0;
е) 2х - а = b + х;
ж) 4х + а = х + с;
з) с - Зх = 4 - 5х.
Популярные решебники 7 класс Все решебники
*К сожалению, временные проблемы с публикацией комментариев с мобильных устройств.