Упр.4.42 ГДЗ Дорофеев Суворова 7 класс (Алгебра)
Решение #1

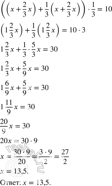
Рассмотрим вариант решения задания из учебника Дорофеев, Суворова, Бунимович 7 класс, Просвещение:
В древнеегипетском папирусе (1700 лет до н. э.) содержится решение уравнения, которое на языке современной математики можно записать так: ((x + 2/3*x) + 1/3*(x + 2/3*x)) * 1/3 = 10. Решите это уравнение.
Популярные решебники 7 класс Все решебники
*К сожалению, временные проблемы с публикацией комментариев с мобильных устройств.