🔥ГДЗ под запретом?

Упр.4.22 ГДЗ Виленкин Жохов 5 класс Часть 1, Просвещение (Математика)

Решение #1 (Учебник 2023)

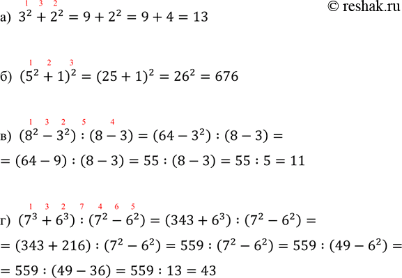
Изображение Вычислите:а) 3^2 + 2^2;   б) (5^2 + 1)^2;   в) (8^2 - 3^2) : (8 - 3);   г) (7^3 + 6^3) : (7^2 -...

Решение #2 (Учебник 2023)

Изображение Вычислите:а) 3^2 + 2^2;   б) (5^2 + 1)^2;   в) (8^2 - 3^2) : (8 - 3);   г) (7^3 + 6^3) : (7^2 -...
Дополнительное изображение

Рассмотрим вариант решения задания из учебника Виленкин, Жохов, Александрова 5 класс, Просвещение:
Вычислите:
а) 3^2 + 2^2; б) (5^2 + 1)^2; в) (8^2 - 3^2) : (8 - 3); г) (7^3 + 6^3) : (7^2 - 6^2).


*Цитирирование задания со ссылкой на учебник производится исключительно в учебных целях для лучшего понимания разбора решения задания.
*К сожалению, временные проблемы с публикацией комментариев с мобильных устройств.