Упр.4.13 ГДЗ Дорофеев Суворова 7 класс (Алгебра)
Решение #1

Рассмотрим вариант решения задания из учебника Дорофеев, Суворова, Бунимович 7 класс, Просвещение:
Действуем по определению (348 — 350)
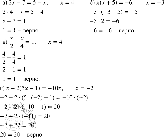
348 Докажите, что:
а) число 4 является корнем уравнения 2х - 7 = 5 - х;
б) число -3 является корнем уравнения х(х + 5) = -6;
в) число 4 является корнем уравнения x/2 - x/4 = 1;
г) число -2 является корнем уравнения х - 2(5х - 1) = -10x.
Популярные решебники 7 класс Все решебники
*размещая тексты в комментариях ниже, вы автоматически соглашаетесь с пользовательским соглашением