Упр.396 ГДЗ Мерзляк 9 класс (Алгебра)
Решение #1 (Учебник 2026)
Решение #2 (Учебник 2026)
Решение #3 (Учебник 2021)
Решение #4 (Учебник 2026)

Рассмотрим вариант решения задания из учебника Мерзляк, Полонская, Якир 9 класс, Просвещение:
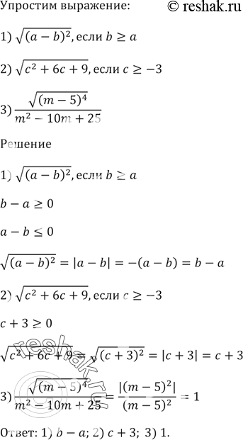
Упростите выражение:
1) корень((а - b)^2), если b >= а;
2) корень(с^2 + 6с + 9), если с >= -3;
3) корень((m - 5)^4) / (m^2 - 10m + 25).
Моторная лодка отправилась по реке от одной пристани к другой и вернулась обратно через 2,5 ч, потратив на стоянку 25 мин.
Найдите скорость течения реки, если собственная скорость лодки равна 20 км/ч, а расстояние между пристанями — 20 км.
Похожие решебники
Популярные решебники 9 класс Все решебники
*К сожалению, временные проблемы с публикацией комментариев с мобильных устройств.