Упр.393 ГДЗ Мерзляк 9 класс (Алгебра)
Решение #1 (Учебник 2024)
Решение #2 (Учебник 2024)
Решение #3 (Учебник 2021)
Решение #4 (Учебник 2021)

Рассмотрим вариант решения задания из учебника Мерзляк, Полонская, Якир 9 класс, Просвещение:
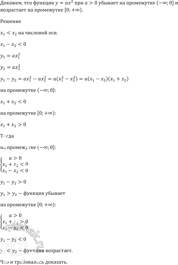
Докажите, что функция у = ах^2 при а > 0 убывает на промежутке (-бесконечность; 0] и возрастает на промежутке [0; +бесконечность).
Найдите сумму и произведение корней уравнения:
1) х^2 - 5х - 10 = 0;
2) 2х^2 + 6х - 7 = 0;
3) -1/3 х^2 + 8х - 1 = 0.
Похожие решебники
Популярные решебники 9 класс Все решебники
*размещая тексты в комментариях ниже, вы автоматически соглашаетесь с пользовательским соглашением