Упр.391 ГДЗ Мерзляк Полонский 7 класс (Алгебра)
Решение #1 (Учебник 2025)
Решение #2 (Учебник 2021)
Решение #3 (Учебник 2021)

Рассмотрим вариант решения задания из учебника Мерзляк, Полонская, Якир 7 класс, Вентана-Граф:
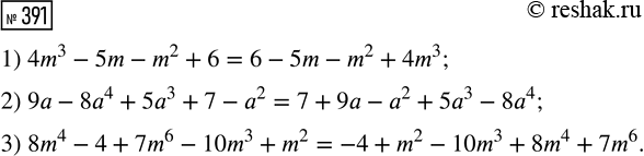
Расположите члены многочлена в порядке возрастания степеней переменной:
1) 4m^3 - 5m - m^2 + 6;
2) 9а - 8a^4 + 5а^3 + 7 - а^2;
3) 8m^4 - 4 + 7m^6 - 10m^3 + m^2.
В волейбольном турнире, проходившем в один круг (то есть каждая команда сыграла с каждой один раз), 20 % всех команд не выиграли ни одной игры. Сколько команд участвовало в этом турнире? (Примечание. В волейболе «ничьих» не бывает, обязательно одна команда выигрывает, а другая проигрывает.)
Похожие решебники
Популярные решебники 7 класс Все решебники
*К сожалению, временные проблемы с публикацией комментариев с мобильных устройств.