Упр.390 ГДЗ Мерзляк Полонский 7 класс (Алгебра)
Решение #1 (Учебник 2025)
Решение #2 (Учебник 2021)
Решение #3 (Учебник 2021)

Рассмотрим вариант решения задания из учебника Мерзляк, Полонская, Якир 7 класс, Вентана-Граф:
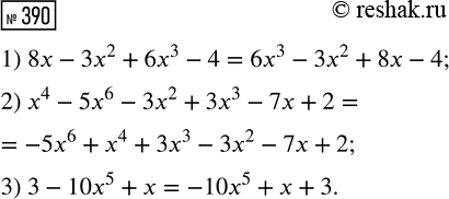
Закончите запись членов многочлена в порядке убывания степеней переменной:
1) 8x - 3x^2 + 6х^3 - 4 = 6х^3 - 3х^2 + ... ;
2) х^4 - 5х^6 - 3х^2 + 3х^3 - 7х + 2 = -5x^6 + х^4 + ... ;
3) 3 - 10x^5 + x = -10x^5 + ... .
На одном складе было 184 т минеральных удобрений, а на втором — 240 т. Первый склад отпускает ежедневно по 15 т удобрений, а второй — по 18 т. Через сколько дней количество удобрений, оставшихся на первом складе, будет составлять 2/3 количества удобрений, оставшихся на втором складе?
Похожие решебники
Популярные решебники 7 класс Все решебники
*К сожалению, временные проблемы с публикацией комментариев с мобильных устройств.