🔥ГДЗ под запретом?

Упр.384 ГДЗ Никольский Потапов 9 класс (Алгебра)

Решение #1

Изображение 384. Вычислите а) (1/2)^(1/2)•8^(1/3)•2^(-1/2)б) (1/27)^(-1/9)•6^(1/2)•2^(-1/2)•3^(1/6)в) (3^1,5-2^1,5 )(3^1,5+2^1,5 )г) (2^2,5-3^1,5 )(2^2,5+3^1,5 )д)...
Дополнительное изображение

Решение #2

Изображение 384. Вычислите а) (1/2)^(1/2)•8^(1/3)•2^(-1/2)б) (1/27)^(-1/9)•6^(1/2)•2^(-1/2)•3^(1/6)в) (3^1,5-2^1,5 )(3^1,5+2^1,5 )г) (2^2,5-3^1,5 )(2^2,5+3^1,5 )д)...

Рассмотрим вариант решения задания из учебника Никольский, Потапов 9 класс, Просвещение:
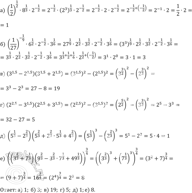
384. Вычислите
а) (1/2)^(1/2)•8^(1/3)•2^(-1/2)
б) (1/27)^(-1/9)•6^(1/2)•2^(-1/2)•3^(1/6)
в) (3^1,5-2^1,5 )(3^1,5+2^1,5 )
г) (2^2,5-3^1,5 )(2^2,5+3^1,5 )
д) (5^(1/3)-2^(2/3))(5^(2/3)+2^(2/3)•5^(1/3)+4^(2/3))
е) ((3^(2/3)+7^(1/3))(9^(2/3)-3^(2/3)•7^(1/3)+49^(1/3)))^(3/4)
*Цитирирование задания со ссылкой на учебник производится исключительно в учебных целях для лучшего понимания разбора решения задания.
*К сожалению, временные проблемы с публикацией комментариев с мобильных устройств.