Упр.37.15 Часть 2 ГДЗ Мордкович Семенов 7 класс (Алгебра)
Решение #1 (Учебник 2019)

Рассмотрим вариант решения задания из учебника Мордкович, Семенов, Александрова 7 класс, Бином:
Найдите значение данного алгебраического выражения:
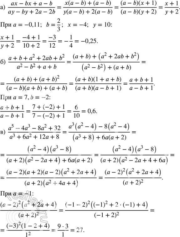
а) (ax - bx + a - b)/(ay - by + 2a - 2b) при a = -0,11, b = 2/3, x = -4, y = 10;
б) (a + b + a^2 + 2ab + b^2)/(a^2 - b^2 + a + b) при a = 7, b = -2;
в) (a^5 - 4a^3 - 8a^2 + 32)/(a^3 + 6a^2 + 12a + 8) при a = -1;
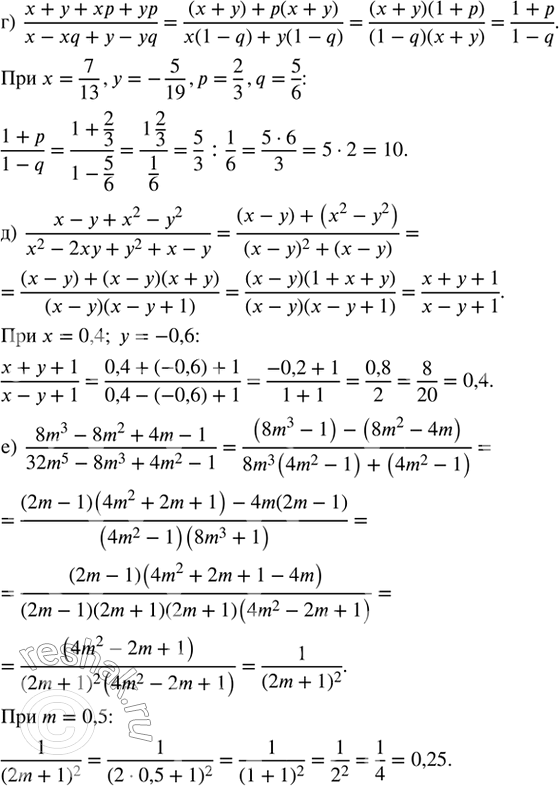
г) (x + y + xp + yp)/(x - xq + y - yq) при x = 7/13, y = -5/19, p = 2/3, q = 5/6;
д) (x - y + x^2 - y^2)/(x^2 - 2xy + y^2 + x - y) при x = 0,4, y = -0,6;
е) (8m^3 - 8m^2 + 4m - 1)/(35m^5 - 8m^3 + 4m^2 - 1) при m = 0,5.
Похожие решебники
Популярные решебники 7 класс Все решебники
*К сожалению, временные проблемы с публикацией комментариев с мобильных устройств.