Упр.37.14 Часть 2 ГДЗ Мордкович Семенов 7 класс (Алгебра)
Решение #1 (Учебник 2019)

Рассмотрим вариант решения задания из учебника Мордкович, Семенов, Александрова 7 класс, Бином:
Найдите значение данного алгебраического выражения:
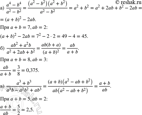
а) (a^4 - b^4)/(a^2 - b^2) при a + b = 7, ab = 2;
б) (ab^2 + a^2 b)/(a^2 + 2ab + b^2) при a + b = 8, ab = 3;
в) (a^3 + b^3)/(a^3 b - a^2 b^2 + ab^3) при a + b = 5, ab = 2;
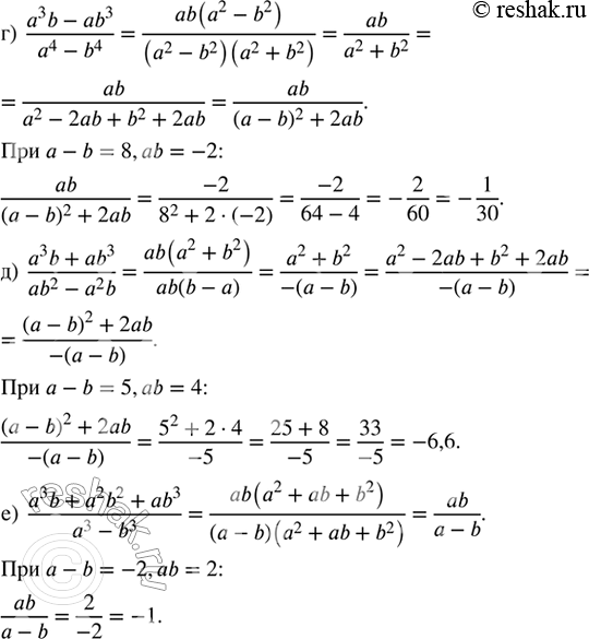
г) (a^3 b - ab^3)/(a^4 - b^4) при a - b = 8, ab = -2;
д) (a^3 b + ab^3)/(ab^2 - a^2 b) при a - b = 5, ab = 4;
е) (a^3 b + a^2 b^2 + ab^3)/(a^3 - b^3) при a - b = -2, ab = 2.
Похожие решебники
Популярные решебники 7 класс Все решебники
*К сожалению, временные проблемы с публикацией комментариев с мобильных устройств.