Упр.356 ГДЗ Мерзляк Полонский 7 класс (Алгебра)
Решение #1 (Учебник 2025)
Решение #2 (Учебник 2021)
Решение #3 (Учебник 2021)

Рассмотрим вариант решения задания из учебника Мерзляк, Полонская, Якир 7 класс, Вентана-Граф:
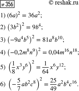
Возведите в квадрат одночлен:
1) 6a; 3) -9a^4 b^5; 5) 1/8 x^3 y^6;
2) 3b^2; 4) -0,2m^8 n^9; 6) -5/7 ab^2 c^8.
Выполните умножение:
1) 3х(4х2 - х);
2) -5а2(а2 -6а-3);
3) (8b2 -10b + 2) * 0,5b;
4) х3(х5 - х2 + 7х -1);
5) -2c2d4 (4с2 - c3d + bd4);
6) (5m3n - 8mn2 - 2n6) * (-4m2n8).
Похожие решебники
Популярные решебники 7 класс Все решебники
*К сожалению, временные проблемы с публикацией комментариев с мобильных устройств.