Упр.353 ГДЗ Мерзляк Полонский 7 класс (Алгебра)
Решение #1 (Учебник 2025)
Решение #2 (Учебник 2021)
Решение #3 (Учебник 2021)

Рассмотрим вариант решения задания из учебника Мерзляк, Полонская, Якир 7 класс, Вентана-Граф:
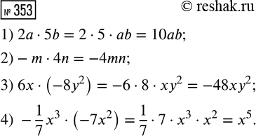
Найдите произведение одночленов:
1) 2а и 5b; 2) -m и 4n; 3) 6x и -8у^2; 4) -1/7 x^3 и -7x^2.
Упростите выражение:
1) 3m2n3 * 0,4mn3;
2) 7*1/3*b3c2*9/11*a4b5;
3) -5x4y2z8 * (-0,8x6y8z2);
4) -5*3/7*abc*3,5a12b10c.
Похожие решебники
Популярные решебники 7 класс Все решебники
*К сожалению, временные проблемы с публикацией комментариев с мобильных устройств.