Упр.32.16 Часть 2 ГДЗ Мордкович Семенов 7 класс (Алгебра)
Решение #1 (Учебник 2025)

Рассмотрим вариант решения задания из учебника Мордкович, Семенов, Александрова 7 класс, Бином:
Решите уравнение:
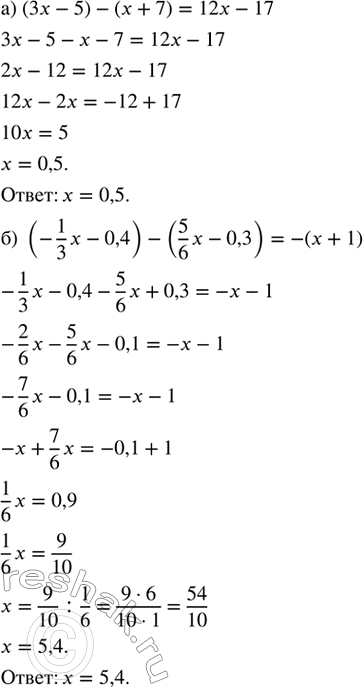
а) (3x - 5) - (x + 7) = 12x - 17;
б) (-1/3 x - 0,4) - (5/6 x - 0,3) = -(x + 1);
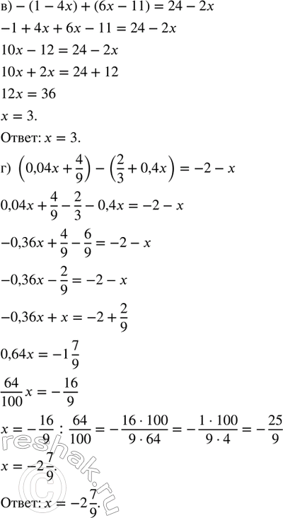
в) -(1 - 4x) + (6x - 11) = 24 - 2x;
г) (0,04x + 4/9) - (2/3 + 0,4x) = -2 - x.
Похожие решебники
Популярные решебники 7 класс Все решебники
*К сожалению, временные проблемы с публикацией комментариев с мобильных устройств.