Упр.32.15 Часть 2 ГДЗ Мордкович Семенов 7 класс (Алгебра)
Решение #1 (Учебник 2025)

Рассмотрим вариант решения задания из учебника Мордкович, Семенов, Александрова 7 класс, Бином:
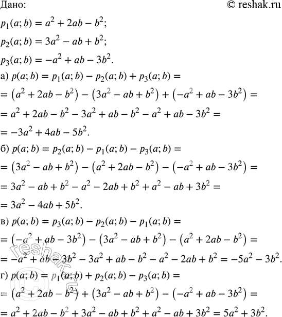
Даны три многочлена:
P_1 (a; b) = a^2 + 2ab — b^2,
p_2 (a; b) = 3a^2 — ab + b^2,
p_3 (a; b) = —a^2 + ab — 3b^2.
Найдите:
а) p(a; b) = p_1 (a; b) - p_2 (a; b) + p_3 (a; b);
б) p(a; b) = p_2 (a; b) - p_1 (a; b) - p_3 (a; b);
в) p(a; b) = p_3 (a; b) - p_2 (a; b) - p_1 (a; b);
г) p(a; b) = p_1 (a; b) + p_2 (a; b) - p_3 (a; b).
Похожие решебники
Популярные решебники 7 класс Все решебники
*К сожалению, временные проблемы с публикацией комментариев с мобильных устройств.