Упр.316 ГДЗ Никольский Потапов 7 класс (Алгебра)
Решение #1
Решение #2

Рассмотрим вариант решения задания из учебника Никольский, Потапов 7 класс, Просвещение:
Упростите целое выражение (316—318):
316. а) (5аb2 + 4b3)(3аb3 - 4а2) - 18а2b3;
б) (7х3у2 - ху)(-2х2у2 + 5ху3) + 12х5y4;
в) (х3 + х2у + ху2 + у3)(х - у) - х2у(х - у);
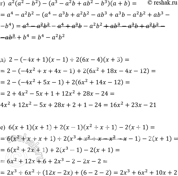
г) а2 (а2 - b2) - (а3 - a2b + ab2 - b3)(а + b);
д) 2 - (-4х + 1)(х - 1) + 2(6х - 4)(х + 3);
е) 6(х + 1)(х + 1) + 2(х - 1)(х2 + х + 1) - 2(х + 1);
ж) (х + 2)(х2 - 2х + 4) - х (х - 3)(х + 3);
з) 3(3х - 1)(2х + 5) - 6(2х - 1)(х + 2);
и) (х2 + 2)(х2 + 2) - (х - 2)(х + 2)(х2 + 4);
к) 5(а - 2)(а + 2) - 1/2*(8а - 6)(8а - 6) + 17.
Популярные решебники 7 класс Все решебники
*К сожалению, временные проблемы с публикацией комментариев с мобильных устройств.