Упр.31.34 Часть 1 ГДЗ Мордкович Семенов 9 класс (Алгебра)
Решение #1 (Учебник 2025)

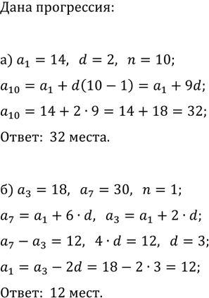
Рассмотрим вариант решения задания из учебника Мордкович, Семенов, Александрова 9 класс, Просвещение:
а) В красном секторе цирка в первом ряду 14 мест, а в каждом следующем на 2 места больше, чем в предыдущем. Сколько мест в десятом ряду?
б) В синем секторе цирка в третьем ряду 18 мест, а в седьмом ряду — 30 мест. Сколько мест в первом ряду?
Похожие решебники
Популярные решебники 9 класс Все решебники
*К сожалению, временные проблемы с публикацией комментариев с мобильных устройств.