Упр.3.19 ГДЗ Мордкович Семенов 11 класс (Алгебра)
Решение #1 (Учебник 2025)
Решение #2 (Учебник 2022)

Рассмотрим вариант решения задания из учебника Мордкович, Семенов, Александрова 11 класс, Просвещение:
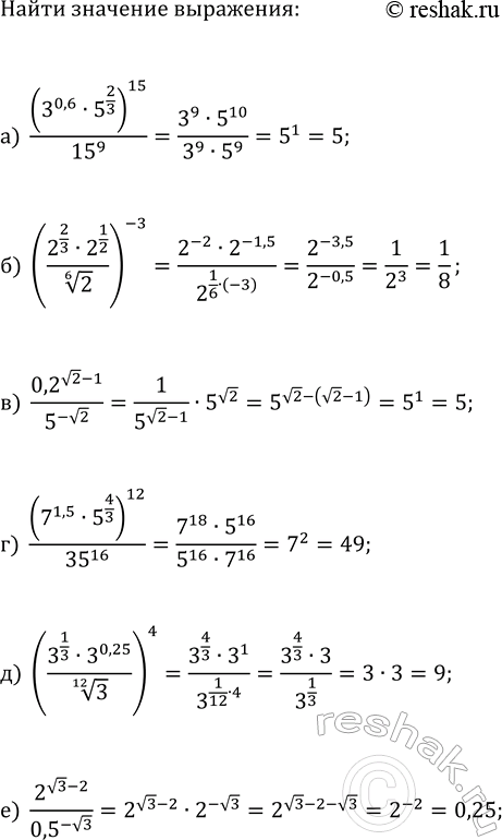
Найдите значение выражения:
а) (3^0,6 · 5^(2/3))^15 / 15^9; в) (0,2^(v2-1)) / 5^(-v2); д) ((3^(1/3)·3^0,25)/3^(1/12))^4;
б) ((2^(2/3) · 2^(1/2)) / 2^(1/6))^-3; г) (7^1,5 · 5^4/3)^12 / 35^16; е) (2^(v3 - 2)) / 0,5^(-v3).
Дана функция y=f(x), где f(x)={x^(1/3), если x?-1; x^2, если -1<x<2; 8/x, если x?2}.
а) Постройте график функции y=f(x);
б) укажите промежутки возрастания и убывания функции;
в) укажите промежутки, на которых f(x)>0;
г) найдите, при каких значениях параметра р уравнение f(x)=p имеет более двух корней.
Похожие решебники
Популярные решебники 11 класс Все решебники
*К сожалению, временные проблемы с публикацией комментариев с мобильных устройств.