Упр.3.112 ГДЗ Дорофеев Шарыгин 5 класс (Математика)
Решение #1

Рассмотрим вариант решения задания из учебника Дорофеев, Шарыгин, Суворова 5 класс, Просвещение:
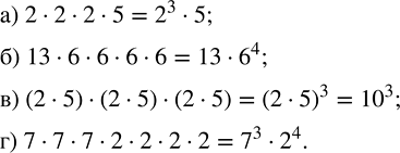
Работаем с символами. Упростите выражение, используя степени:
а) 2 · 2 · 2 · 5; в) (2 · 5) · (2 · 5) · (2 · 5);
б) 13 · б · б · 6 · 6; г) 7 · 7 · 7 · 2 · 2 · 2 · 2.
Популярные решебники 5 класс Все решебники
*К сожалению, временные проблемы с публикацией комментариев с мобильных устройств.