Упр.299 ГДЗ Мерзляк 9 класс (Алгебра)
Решение #1 (Учебник 2024)
Решение #2 (Учебник 2021)
Решение #3 (Учебник 2021)

Рассмотрим вариант решения задания из учебника Мерзляк, Полонская, Якир 9 класс, Просвещение:
Укажите неравенство, решением которого является пара чисел (-1; 2):
1) -2x+y>3; 2) x^2+y^2?7; 3) x^2+y^2<5; 4) y?3x^2+x.
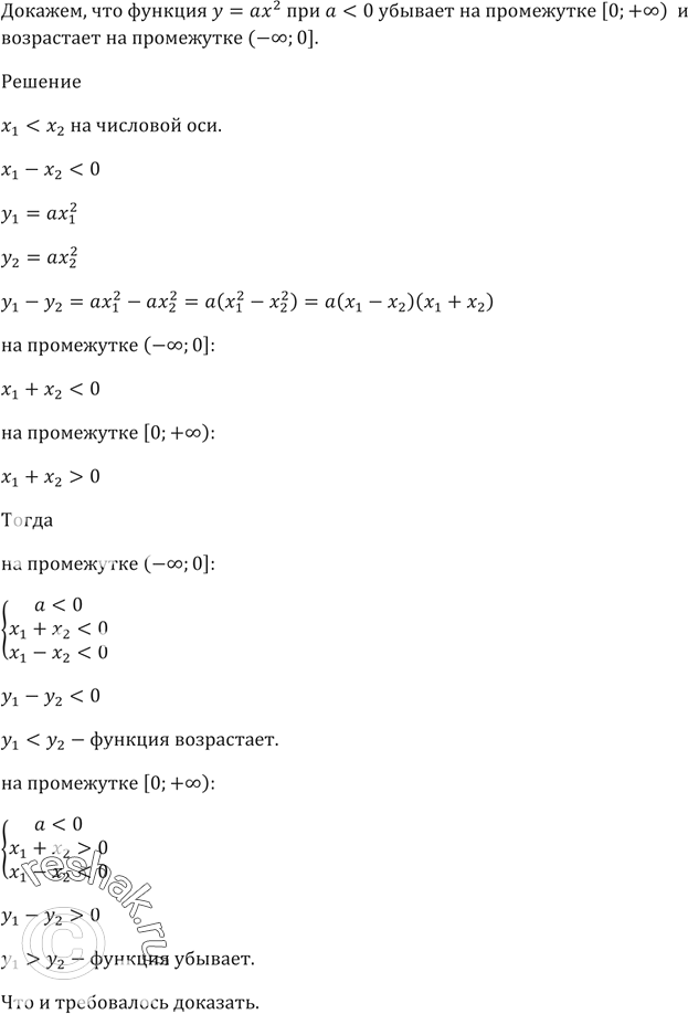
Докажите, что функция у = ах^2 при а < 0 возрастает на промежутке (-бесконечность; 0] и убывает на промежутке [0; +бесконечность).
Похожие решебники
Популярные решебники 9 класс Все решебники
*размещая тексты в комментариях ниже, вы автоматически соглашаетесь с пользовательским соглашением