Упр.29.22 Часть 2 ГДЗ Мордкович Семенов 7 класс (Алгебра)
Решение #1 (Учебник 2019)

Рассмотрим вариант решения задания из учебника Мордкович, Семенов, Александрова 7 класс, Бином:
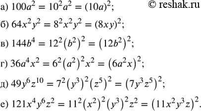
Представьте данное выражение в виде квадрата одночлена:
а) 100а^2; г) 36a^4 x^2;
б) 64х^2 у^2; д) 49у^6 z^10;
в) 144b^4; е) 121x^4 y^6 z^2.
Похожие решебники
Популярные решебники 7 класс Все решебники
*К сожалению, временные проблемы с публикацией комментариев с мобильных устройств.