Упр.29.18 Часть 2 ГДЗ Мордкович Семенов 7 класс (Алгебра)
Решение #1 (Учебник 2019)

Рассмотрим вариант решения задания из учебника Мордкович, Семенов, Александрова 7 класс, Бином:
Решите уравнение:
а) (х^2 - 2)(x + 3) + (х^2 + 2)(х - 3) = 4;
б) (z - 4)(z + 3) + (z + 6)(z - 5) = -10;
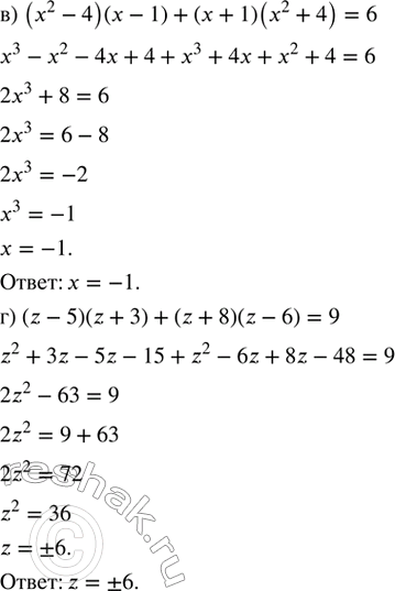
в) (x^2 — 4)(x — 1) + (x + 1)(x^2 + 4) = 6;
г) (z - 5)(z + 3) + (z + 8)(z - 6) = 9.
Похожие решебники
Популярные решебники 7 класс Все решебники
*К сожалению, временные проблемы с публикацией комментариев с мобильных устройств.