Упр.28.20 ГДЗ Мордкович Семенов 8 класс (Алгебра)
Решение #1 (Учебник 2025)

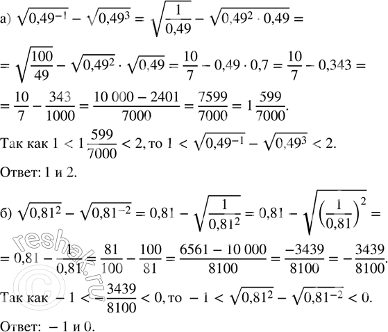
Рассмотрим вариант решения задания из учебника Мордкович, Семенов, Александрова 8 класс, Просвещение:
Найдите два последовательных целых числа, между которыми заключено данное число:
а) v(0,49^(-1)) - v((0,49)^3); б) v((0,81)^2) - v(0,81^(-2)).
Похожие решебники
Популярные решебники 8 класс Все решебники
*К сожалению, временные проблемы с публикацией комментариев с мобильных устройств.