Упр.28.19 ГДЗ Мордкович Семенов 8 класс (Алгебра)
Решение #1 (Учебник 2025)

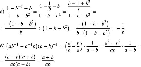
Рассмотрим вариант решения задания из учебника Мордкович, Семенов, Александрова 8 класс, Просвещение:
Упростите выражение:
а) (1 - b^(-1) + b)/(1 - b - b^2);
б) (ab^(-1) - a^(-1) b)(a - b)^-1.
Похожие решебники
Популярные решебники 8 класс Все решебники
*К сожалению, временные проблемы с публикацией комментариев с мобильных устройств.