Упр.25.15 Часть 2 ГДЗ Мордкович Семенов 7 класс (Алгебра)
Решение #1 (Учебник 2019)

Рассмотрим вариант решения задания из учебника Мордкович, Семенов, Александрова 7 класс, Бином:
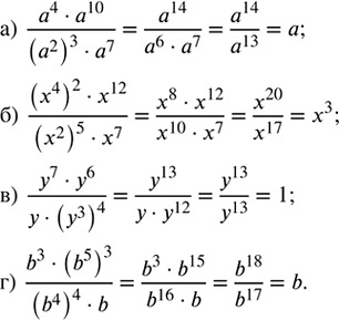
Упростите выражение:
а) (a^4 · a^10)/((a^2)^3 · a^7);
б) ((x^4)^2 · x^12)/((x^2)^5 · x^7);
в) (y^7 · y^6)/(y · (y^3)^4);
г) (b^3 · (b^5)^3)/((b^4)^4 · b).
Похожие решебники
Популярные решебники 7 класс Все решебники
*К сожалению, временные проблемы с публикацией комментариев с мобильных устройств.