Упр.24.6 ГДЗ Мордкович Семенов 11 класс (Алгебра)
Решение #1 (Учебник 2025)
Решение #2 (Учебник 2022)

Рассмотрим вариант решения задания из учебника Мордкович, Семенов, Александрова 11 класс, Просвещение:
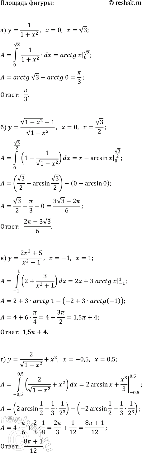
Найдите площадь криволинейной трапеции, ограниченной прямыми y = 0, x = a, x = b и графиком функции y = f(x):
а) y = 1 / (1 + x^2), a = 0, b = v3;
б) y = (v(1 - x^2) - 1) / v(1 - x^2), a = 0, b = v3/2;
в) y = (2x^2 + 5) / (x^2 + 1), a = -1, b = 1;
г) y = 2 / v(1 - x^2) + x^2, a = -0,5, b = 0,5.
В прямоугольнике, ограниченном прямыми x=1, x=5, y=-2, y=3, наудачу выбирают точку. Какова вероятность того, что она окажется:
а) на оси ординат; г) правее прямой x=4;
б) на оси абсцисс; д) выше прямой y=x;
в) ниже оси абсцисс; с) ниже прямой x+y=3?
Похожие решебники
Популярные решебники 11 класс Все решебники
*К сожалению, временные проблемы с публикацией комментариев с мобильных устройств.