Упр.24.35 ГДЗ Мерзляк 10 класс Углубленный уровень (Алгебра)
Решение #1

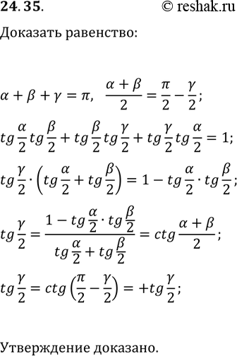
Рассмотрим вариант решения задания из учебника Мерзляк, Номировский, Поляков 10 класс, Просвещение:
24.35. Докажите, что если ?, ? м ? — углы треугольника, то tg(?/2)tg(?/2)+tg(?/2)tg(?/2)+tg(?/2)tg(?/2)=1.
Похожие решебники
Популярные решебники 10 класс Все решебники
*размещая тексты в комментариях ниже, вы автоматически соглашаетесь с пользовательским соглашением