Упр.23.3 ГДЗ Мерзляк 10 класс Углубленный уровень (Алгебра)
Решение #1

Рассмотрим вариант решения задания из учебника Мерзляк, Номировский, Поляков 10 класс, Просвещение:
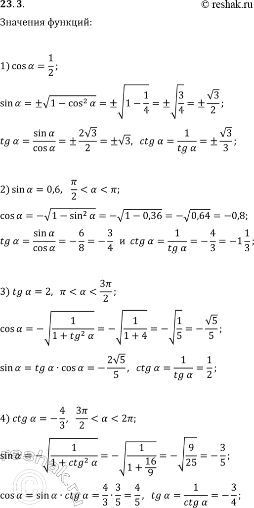
23.3. Найдите значения тригонометрических функций аргумента ?, если:
1) cos(?)=1/2; 3) tg(?)=2 и ? < ? < 3?/2;
2) sin(?)=0,6 и ?/2 < ? < ?; 4) ctg(?)=-4/3 и 3?/2 < ? < 2?.
Похожие решебники
Популярные решебники 10 класс Все решебники
*размещая тексты в комментариях ниже, вы автоматически соглашаетесь с пользовательским соглашением